Signal - function dependent on 1+ arguments, usually describing a physical aspect of something
One-dimensional signal - 1 argument
Multi-dimensional signal - multiple arguments
DT signal - sequence
CT signal - waveform
Sampling turns a CT into a DT (analog to digital)
Sample every T (sampling interval).
System - takes a signal and outputs a new signal
Properties of a signal, denoted x(t)
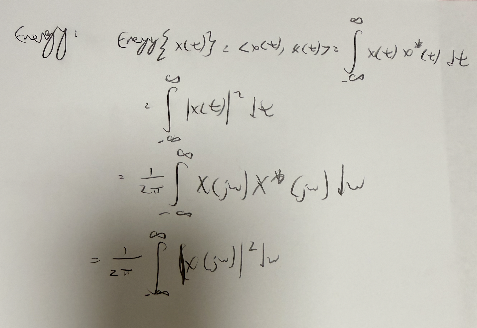
Power
Power is average energy
When periodic, for any
Random - involves probability
Deterministic
Properties of a system, denoted H
Stability
Memory
Memoryless if y[t] is only based on x[t]
Has memory if y[t] based on x[not t] (such as x[t-1])
Invertibility
Time-invariance
Time-invariant iff t-shift then apply H is the same as apply H then t-shift. Time-variance means that it depends on absolute time.
t-shift then apply H:
apply H then t-shift:
Strategy when checking if time-invariant: write to apply and first find then t-shift by
Time-variant - H applies a change to x(t) differently based on each absolute t
Common examples
Variant - depends on absolute time
Invariant
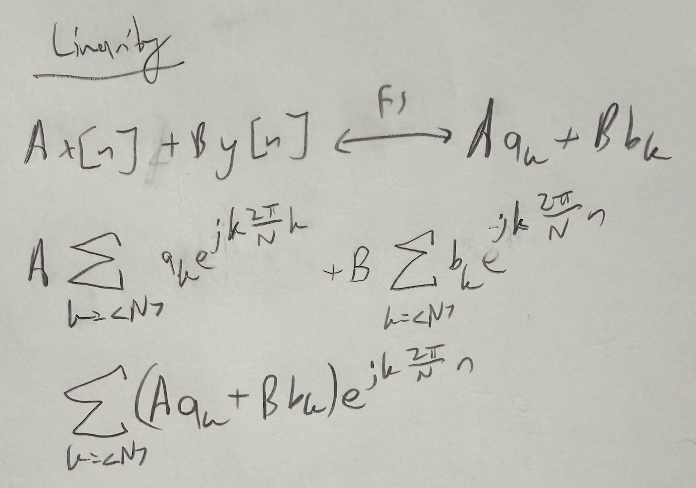
Linearity
Causality
Real
Singularity functions is either or has no derivative at a point
Example signals
Impulse function
CT impulse function is also called the Dirac delta function (see explanatory video here)
Unit doublet function
Step function is 1 if else 0
Ramp function
Rectangular pulse
Example systems
Modulation
High-pass and low-pass filters
DT
Difference equation:
When , low-pass filter
When , running sum
When , compound interest
When , high-pass filter
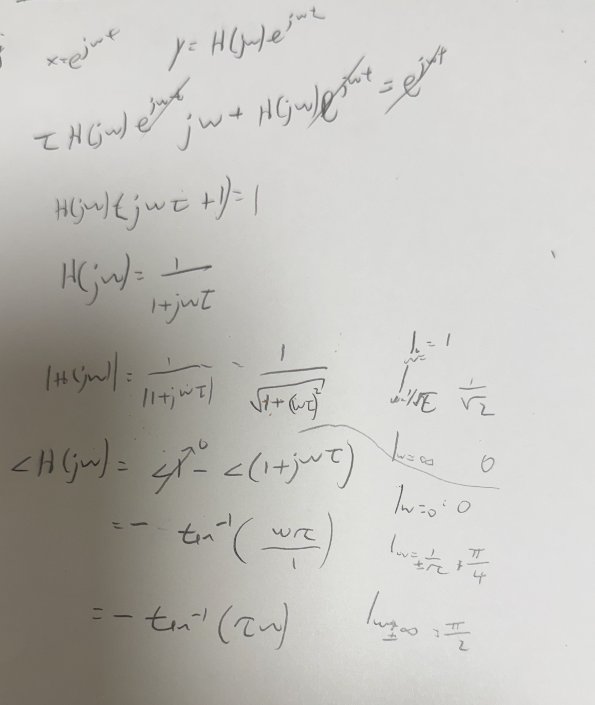
CT low-pass filter
Differential equation:
Impulse response
-3 dB is when the power is down by 1/2 which would correspond to being which would correspond to or so cutoff frequency
CT high-pass filter
Impulse response
Frequency response
Squarer
DT
CT
Initial rest - until is non-zero
Fundamental frequency
Frequency
is a harmonic when is an integer
is the first harmonic (the fundamental frequency)
is the second harmonic - twice the fundamental frequency
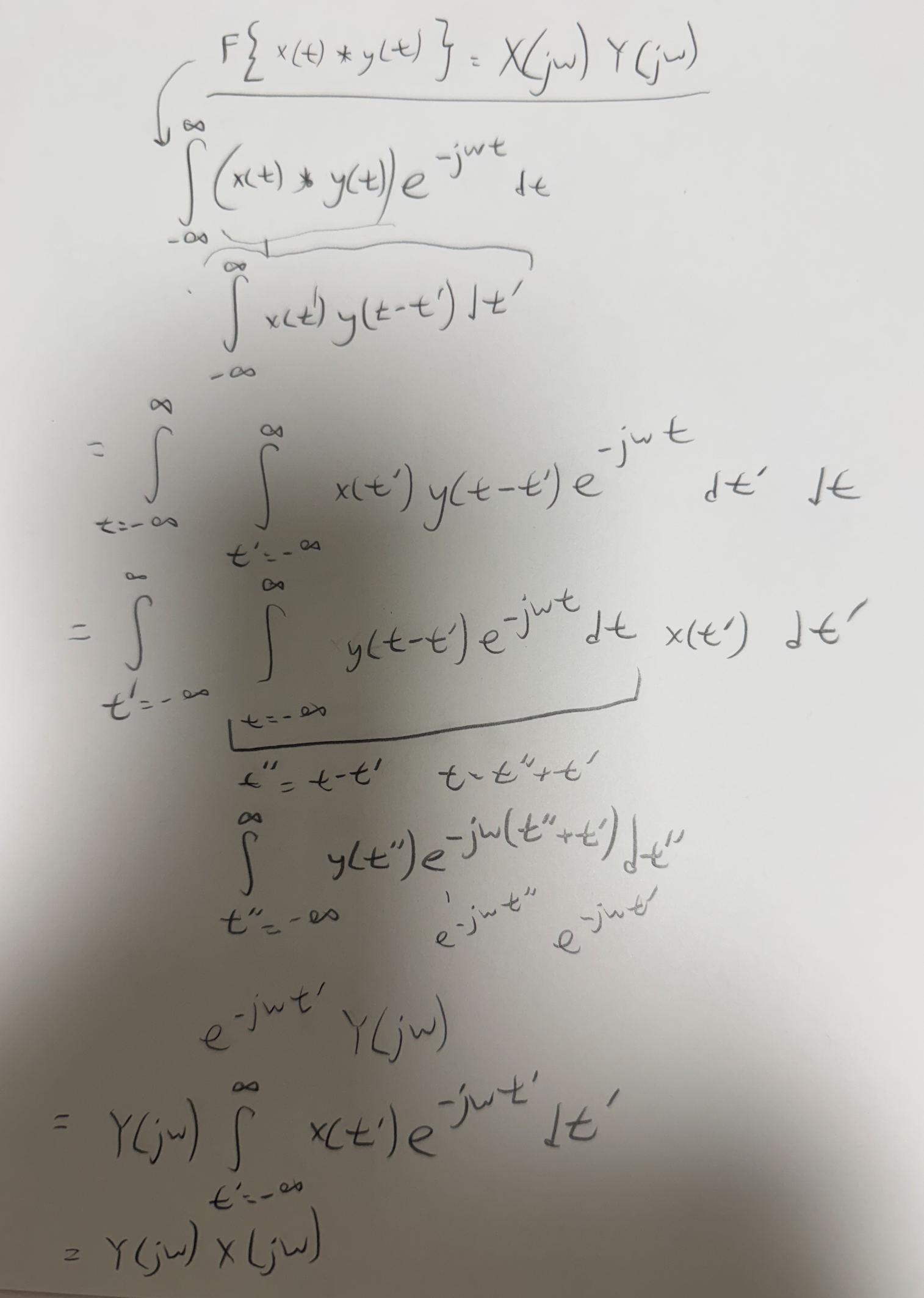
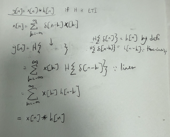
Convolutions
Convolving two signals—a(t) and b(t)—returns another signal c(t)
CT
DT
Convolution is linear
Convolution is commutative
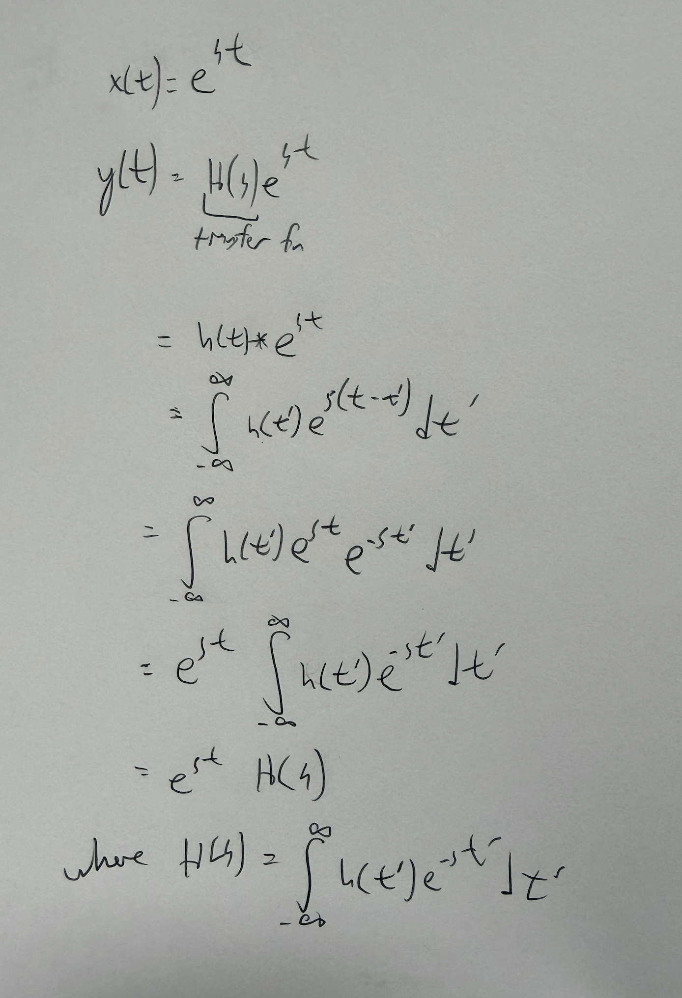
Given an LTI system H
Impulse response
Step response
How to calculate convolution
Method 1: Flip and drag
Plot
Plot (which is , a horizontal flip and then transform right by n)
For each fixed value of n, take each k and multiply the two graphs, adding up all these terms to get
Method 2: Express rectangles as singularity functions and apply special functions
Method 3: symbolically
Useful examples
running sum
identity
This is a useful property to check that you did your convolution correctly
Frequency response
AKA transfer function
If then
How to calculate: through the equation given above with the impulse response or by substituting in as and with
Properties
If impulse response is real,
Any real will yield a real
Properties
Sampling property
Sifting property
DT
CT
mn sifting through the points for the one point (like sifting through water for that one piece of gold)
Finite
Linear, constant-coefficient differential (CT)/difference (DT) equation
DT
CT
Signal transforms (frequency-domain transforms)
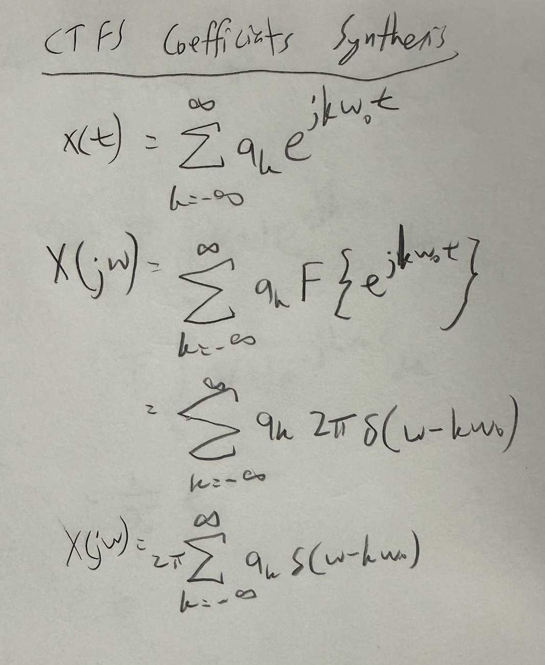
Fourier series - for periodic signals (have power)
Fourier series - CTFS
Discrete Fourier series - DTFS
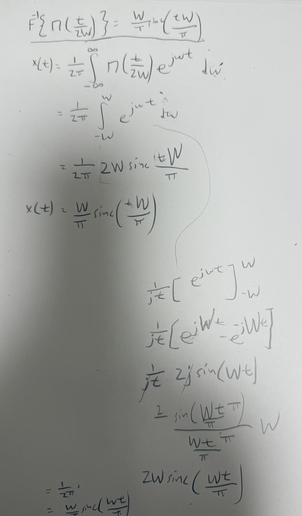
Fourier transform - for aperiodic signals (have energy)
Fourier transform - CTFT
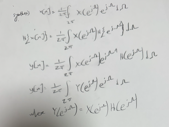
Discrete Fourier transform - DTFT
Laplace transform - CT
Z-Transform - DT
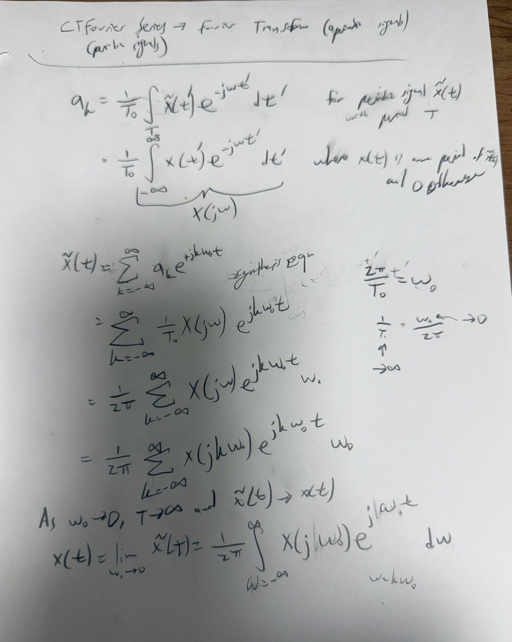
Fourier series
Basis function
Synthesis - representing a signal by a Fourier series
Analysis - finding the Fourier series coefficients to represent a signal
mn is the product of inner product of and (approximation of x(t) with linear combo of exponentials) over one period, which is the RHS.
mn
LHS yields
Examples
DT version
Basis function
Synthesis
Analysis
Fundamental frequency
With LTI system H
Properties given and
Both
CTFS
Group delay - how delayed (phase-shifted) the components are based on their frequency
Continuous-time Fourier transform (CTFT)
CTFT
AKA analysis equation ∵ analysis is extracting coeffs
Inverse CTFT
AKA CTFT synthesis equation ∵ synthesis is synthesizing signal from coeffs
mn synthesis has + because synthesis is about creating (positive) whereas analysis is about taking apart (negative) so it has a -
This means that for frequency response ,
so the phase distortion tells you how much the frequencies are delayed
Notation
CTFT operator : and
CTFT pair:
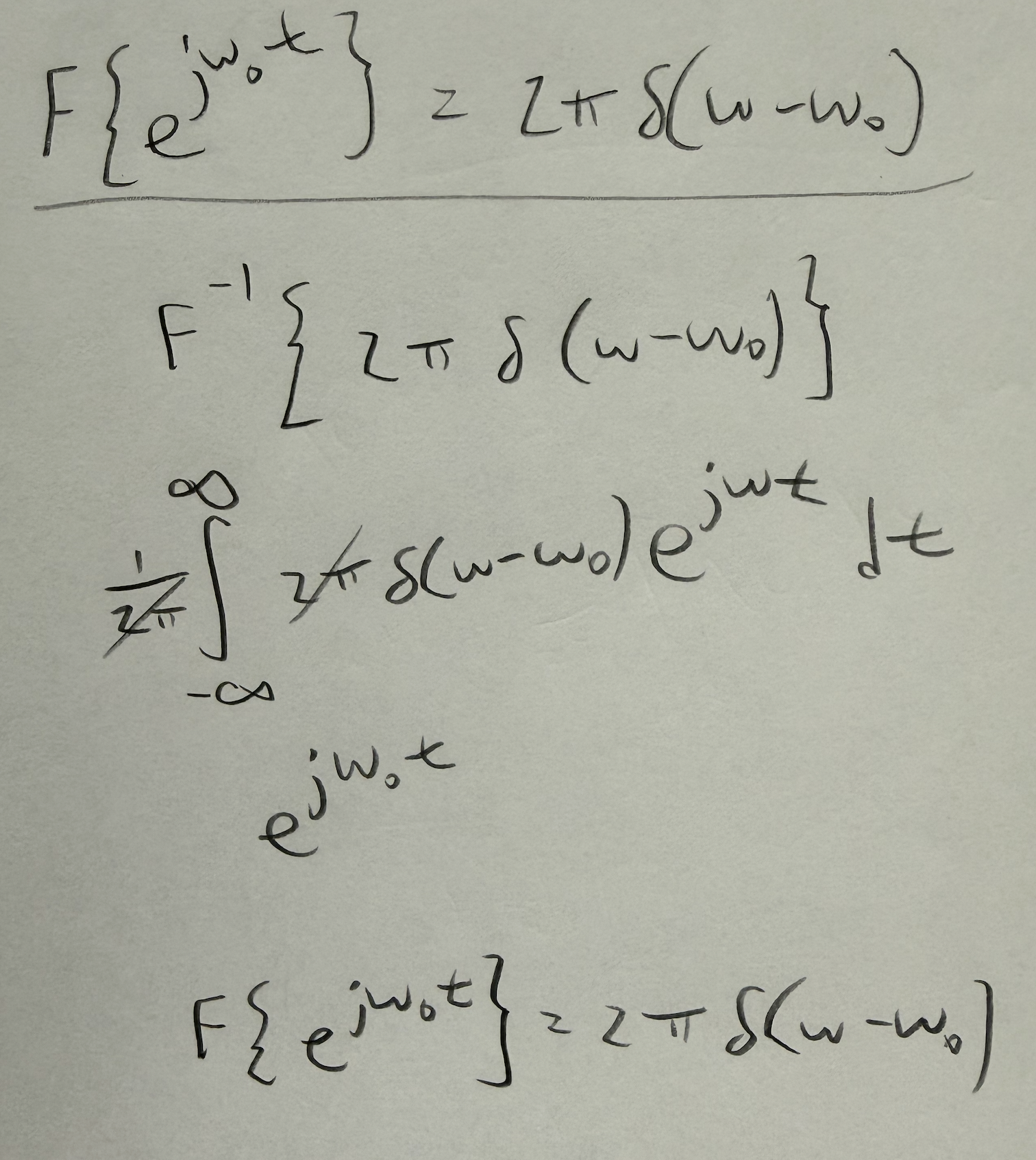
Eigenfunction of CT LTI system is
If the Dirichlet conditions (below) are satisfied, then synthesized signal except near when has discontinuities and the energy difference between them vanishes:
is absolutely integrable
) has a finite number of local minima and maxima in a finite interval
has a finite number of discontinuities in a finite interval
's discontinuities are all finite
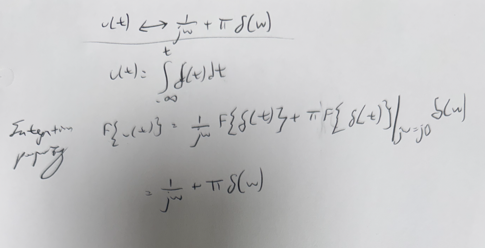
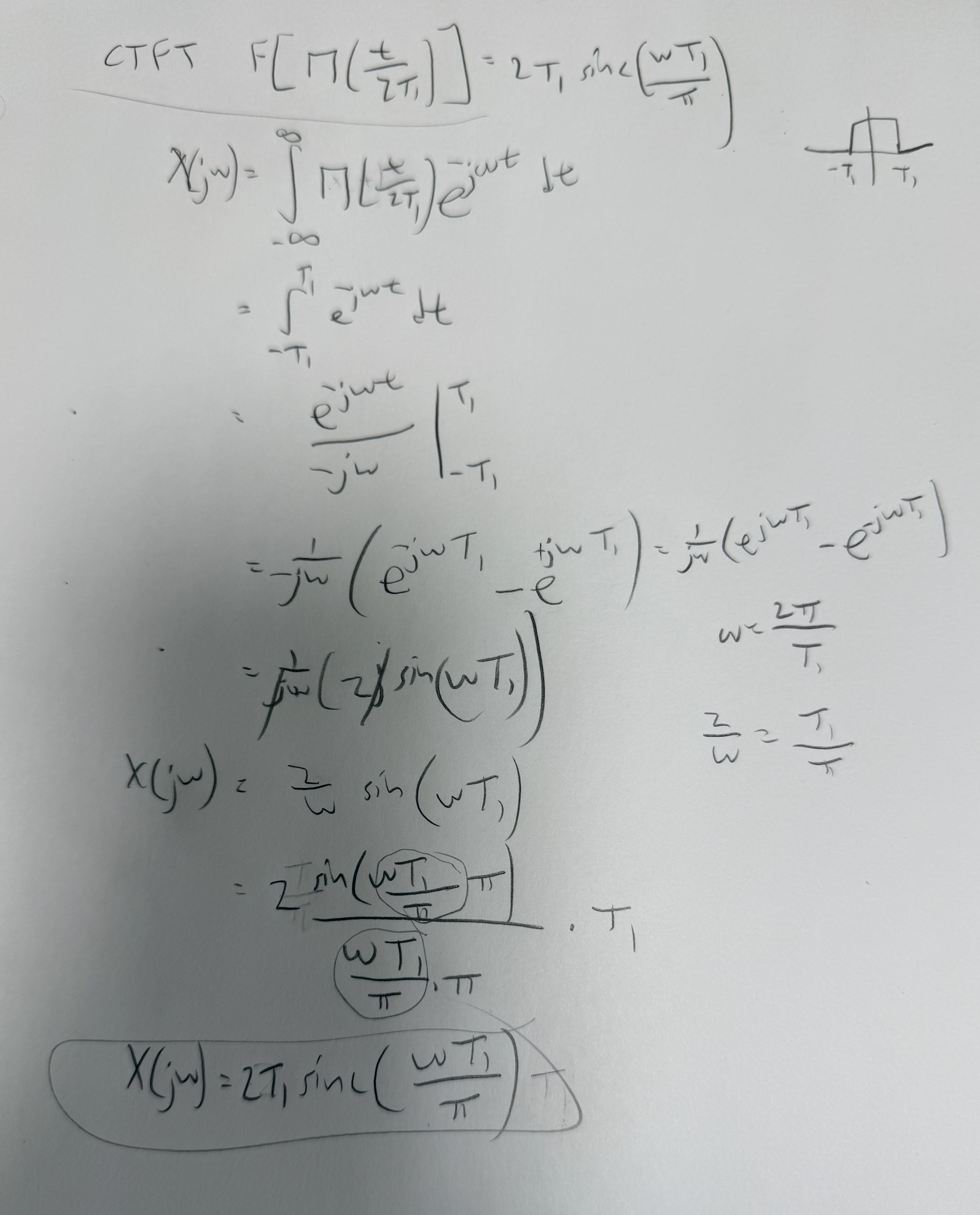
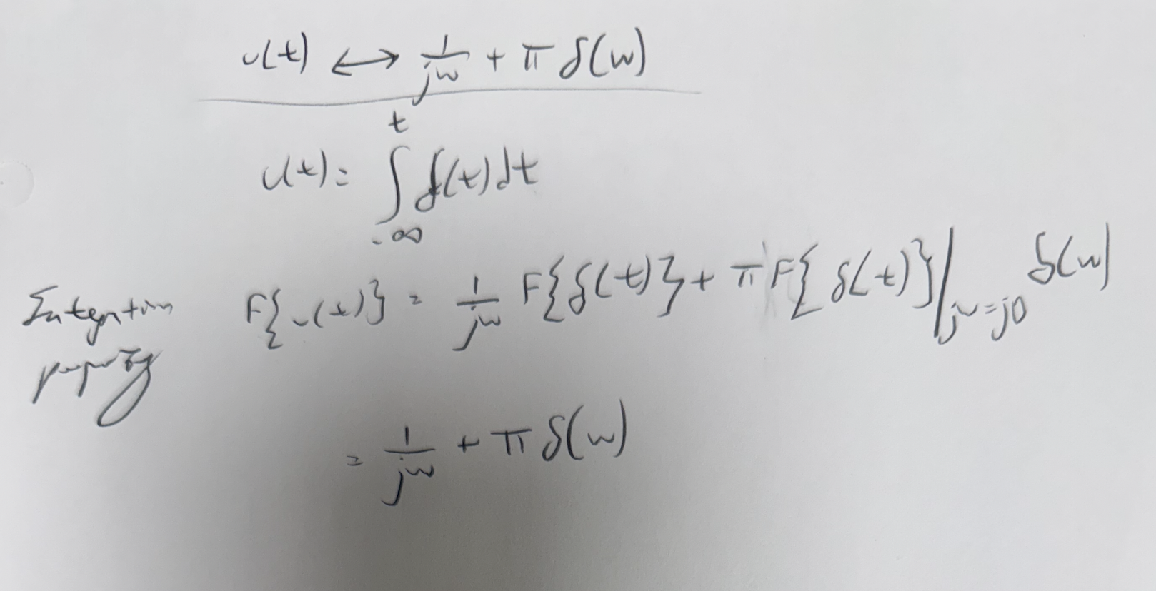
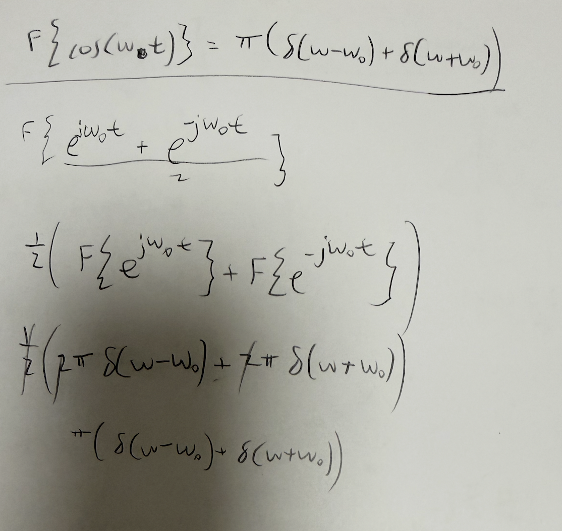
Examples
Properties
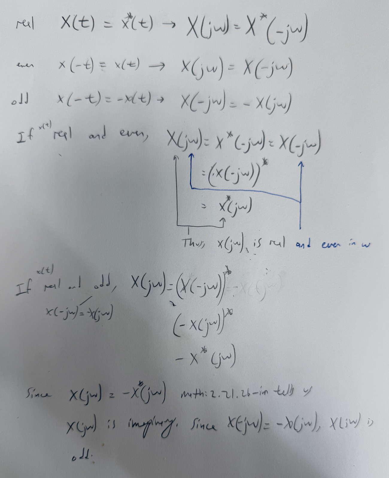
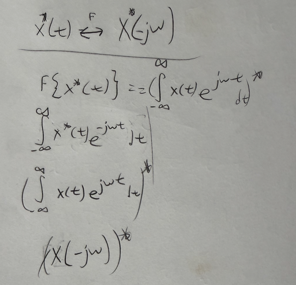
Corollary: if a signal x(t) is real, its CTFT has conjugate symmetry
If is real and even, is real and even
If is real and odd, is imaginary and odd
DTFS
- analysis
Eigenfunction of DT LTI system is . When , we can use
DTFT
Helpful math
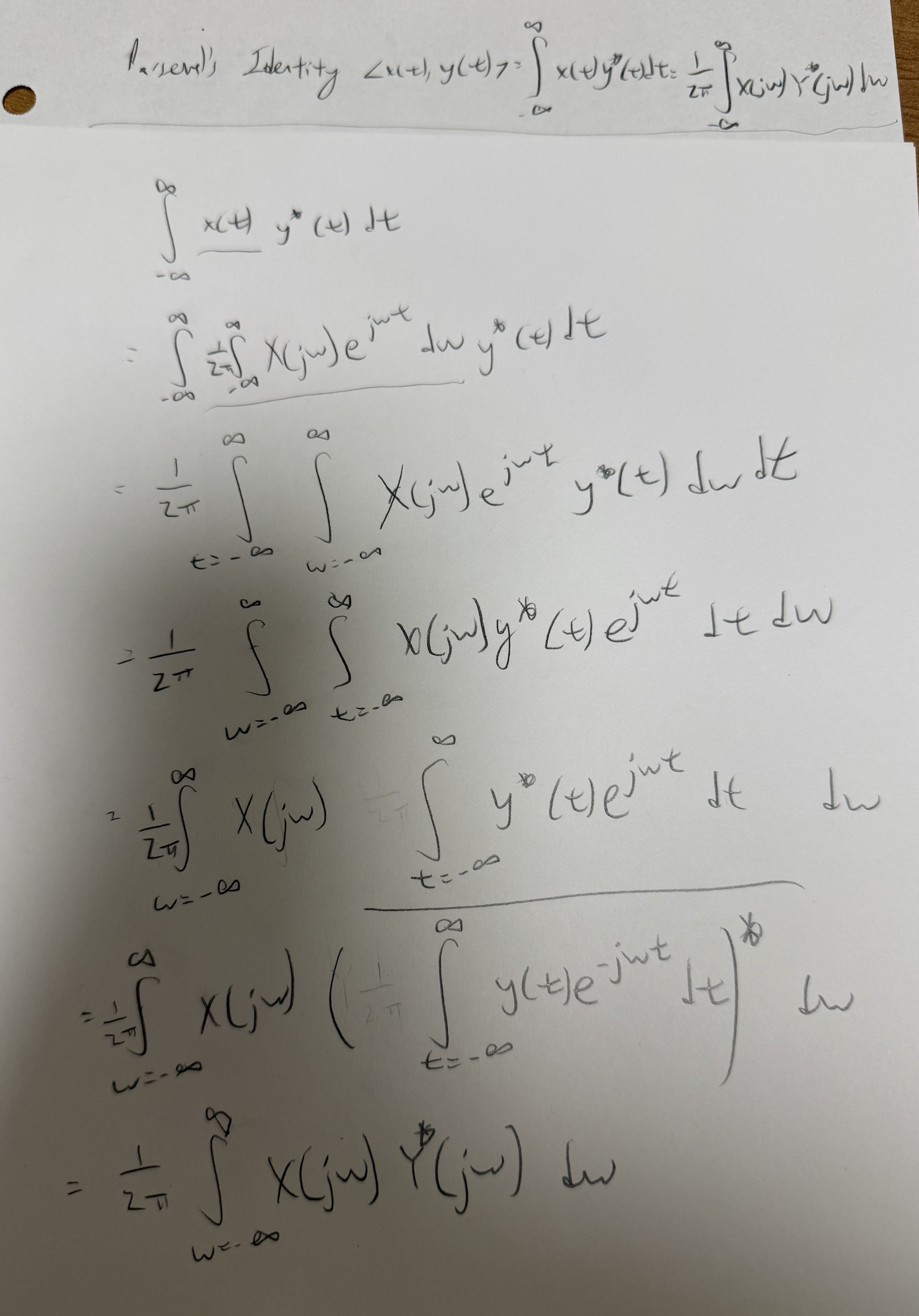
Inner product
